找回密码
 立即注册
网站/小程序/APP/浏览器插件/桌面软件/脚本 定制开发·运营维护·故障修复·技术咨询
查看: 4881|回复: 17

宇宙到底是什么样的?

[复制链接]
发表于 2020-10-26 05:39:42 | 显示全部楼层 |阅读模式
这期我们再来聊一个宏大的话题:宇宙到底是什么样子的?

其实,对于宇宙的研究,历经了一代又一代科学家的努力,学者们猛然发现随着研究的深入,越发觉得人类如此之渺小,宇宙的一切越发越广阔,越发越难以预测。

宇宙到底是什么样的?-1.jpg



科学家对于宇宙的描述,其实不像很多人以为的那样,就是简单地讲一下宇宙是什么样子的。他们其实会根据观测建立一个宇宙模型,这个模型通常是用数学语言来表述的。这样做的关键其实是为了预测。

托勒密的地心说模型

1900多年前,古罗马帝国有位天文学家托勒密,他是最早建立完整宇宙模型的人。这个宇宙模型被称为:地心说模型,是托勒密基于大量的观测数据和各种理论相结合的成果。

宇宙到底是什么样的?-2.jpg



在当时,这个模型已经能够指导人们预测天象,而且理论核心“地球是宇宙的中心”深得教会人士的认同。于是,这套理论被广泛使用,也是在众多宇宙模型中寿命最长的,流行了近1400年。

牛顿世界观的宇宙模型

不过,地心说模型也有自身的问题,因为它是基于亚里士多德的运动学理论,在这套体系里天体的运行只能是匀速圆周运动,但是实际观测中并不是这样,为了拟合现实和理论之间的矛盾,托勒密假设了80多个圈圈,一环套一环,使得现实观察可以符合亚里士多德的理论。

宇宙到底是什么样的?-3.jpg



不过,这无形之中增加了大量的运算,用起来超级麻烦。哥白尼对此很不满,他尝试去简化,但也摒弃不了亚里士多德的理论,最终提出了日心说模型

宇宙到底是什么样的?-4.jpg



只是这个宇宙模型少用了一些圈圈,但还有40多个,还是很麻烦,而且也没有比托勒密的地心说模型更精准。

这个时候,有个被后世人成为“天空立法者”的开普勒提出了自己的观点,他基于大量的观测数据发现,其实天体的轨道是椭圆的,这一下子就把这些圈圈赶出了日心说模型,运算大幅度的锐减,而且还十分精准,所以说,放弃一个固有的观念确实很难,做到了说不定能够有很大的收获。

宇宙到底是什么样的?-5.jpg



不过,还是有个问题,开普勒一直没有办法解释为什么天体轨迹会是椭圆的。这个时候,物理学界大佬牛顿出手了,他提出了自己的运动学理论,这套理论完爆亚里士多德的运动学理论。其次,他基于开普勒的理论提出了“万有引力定律”,成功解释了开普勒没能解释的问题“为什么天体轨迹会是椭圆的”。

宇宙到底是什么样的?-6.jpg



经过牛顿这一顿折腾,日心说模型也没了,取而代之的是牛顿的宇宙模型,这个模型的内核是天体运动是跟距离平方反比的力的作用下运动运动轨道不需要再观测了,可以直接通过计算预测很多未知的事物。

相对论宇宙模型

看起来牛顿的宇宙模型已经很完美了,实际上问题还是很多。首先,如果万物之间是引力,那宇宙应该在引力的作用下向中心收缩的。牛顿为了弥补这个漏洞,只能提出一个假设:宇宙是无限大的,没有中心,或者处处都是中心,这样就不会有向中心收缩的情况。这也是为什么日心说模型会被踢出局的原因。

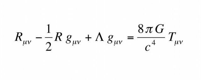
但牛顿还是高兴的太早,后来科学家发现光速不变原理,这又违反的牛顿运动学的基本假设。也就是说,牛顿世界观模型看样子是不适用于超大尺度和高速的世界。紧接着,爱因斯坦的广义相对论横空出世,他弥补了牛顿世界观模型出现的问题,不过爱因斯坦深受前人“宇宙恒定不变”的影响,在广义相对论中的爱因斯坦场方程加了一个常数项,使得宇宙变成一个静态的世界。

宇宙到底是什么样的?-7.jpg

此处的Λ是宇宙常数,其物理意义是宇宙真空场。Λ*g_uv为宇宙项。



看起来好像很完美了,可惜,爱因斯坦没得意太久。弗里德曼等科学家基于爱因斯坦场方程的研究,认为爱因斯坦的常数项是多余的,宇宙应该是膨胀的。紧接着,哈勃通过观测也发现了宇宙正在膨胀。

宇宙到底是什么样的?-8.jpg



所以,相对论宇宙模型被修正,这个理论认为:宇宙会随着时间的推移而变化,尤其是会膨胀。并且预言了宇宙大爆炸之后的38万年会留下宇宙背景辐射,这后来被彭齐亚斯和威尔逊的观测所证实。

宇宙到底是什么样的?-9.jpg



修正后的宇宙模型,我们现在更多的称为:大爆炸宇宙模型

宇宙到底是什么样的?-10.jpg



LCDM模型

但大爆炸模型也是有问题的,1933年有位科学家发现,银河系在星系团里的运动速度超级快,不符合牛顿力学。1977年又有一位科学家发现,太阳在银河系里的运动速度应该低于160km/s,实际上测出来的结果却是230km/s,这也不符合牛顿力学。继而很多科学家开始研究更大尺度的天体,他们发现星系团能引起的引力透镜效应更明显,这再一次违反了牛顿力学。那究竟是咋回事呢?

为了修正这些误差,科学家提出了“暗物质”的概念,暗物质不会和其他物质发生除了引力之外的相互作用,但除了这些科学家一所无知,只能提出一些没有证据的假说。暗物质的提出修正了大爆炸宇宙模型。

宇宙到底是什么样的?-11.jpg

暗物质3D分布图 Credit:Wiki



模型中的引力和膨胀的矛盾,还是深深地让科学家感到不安。为了拟合针对矛盾,科学家设想了这样一幅情景,在地球表面向上扔石头,石头虽然是逆着引力方向,但速度一直在减小直到减小为零,再开始下落。所以科学家得出结论,宇宙的膨胀也应该是类似于扔石头,现在就是逆着引力方向在膨胀,所以膨胀的速度应该减小,等减小到零,宇宙就得开始收缩了。

可是,万万没想到,1998年,两个科学团队同时发表了对Ia型超新星的光度和红移值测量的结果,这个结果告诉我们宇宙的膨胀在加速,领导这两个团队的科学家,在2011年获得了诺贝尔物理学奖。

宇宙到底是什么样的?-12.jpg



他们的发现和理论又出现了矛盾,这大大出乎了科学家们的预料,这相当于往上扔个石头,石头非但没不断地减速,还在加速,那肯定有个向上的力这作妖。科学家为了解释这个现象,只能再假设一个能提供和引力相反的斥力,而这个力的来源被科学家称为“暗能量”。

至于暗能量是什么,我们现在也是一所无知。根据暗物质和暗能量表现出的现象,科学家提出了了一个新的宇宙模型:LCDM模型

在这个模型下,科学家计算出了宇宙的物质和能量的比例:暗能量68.3%,暗物质约为26.8%,游离的氢元素和氦元素约4%,剩下的其他物质约0.83%。

宇宙到底是什么样的?-13.jpg



宇宙的未来到底是什么?其实我们还无法预知,如果按照现在的情况一直持续下去不改变,借用发现宇宙加速膨胀的科学家施密特的话来说就是:
“1000亿年以后,除了我们所在的银河系,所有星系都将消散,人们看到的宇宙将空无一物。”

你认同现在科学家对于宇宙的认知么?

在你的心目当中,宇宙到底又是什么样的呢?


本文版权归原作者钟铭聊科学所有,如有侵权请联系管理员删除,原文地址:https://m.toutiao.com/i6674395415716037123/
回复

使用道具 举报

发表于 2020-10-26 05:39:50 | 显示全部楼层
宇宙也是圆的肯定是
回复 支持 反对

使用道具 举报

发表于 2020-10-26 05:39:59 | 显示全部楼层
很专业[赞]
回复 支持 反对

使用道具 举报

发表于 2020-10-26 05:40:30 | 显示全部楼层
造物主非得一巴掌过去,这帮科学家才会醒吗
回复 支持 反对

使用道具 举报

发表于 2020-10-26 05:41:16 | 显示全部楼层
#这很科学#
回复 支持 反对

使用道具 举报

发表于 2020-10-26 05:41:48 | 显示全部楼层
对于地球人类来说,宇宙浩瀚无垠无际无序,然而对宇宙人类来说是井井有序,合情合理的!
回复 支持 反对

使用道具 举报

发表于 2020-10-26 05:42:07 | 显示全部楼层
宇宙就是大衍,大衍五十其用四十九也,其一为不确定因素
回复 支持 反对

使用道具 举报

发表于 2020-10-26 05:42:12 | 显示全部楼层
宇宙是”绝对无限宇宙”,没有”什么样”之说,若是有样子,那就是“相对有限宇宙”了。
回复 支持 反对

使用道具 举报

发表于 2020-10-26 05:42:33 | 显示全部楼层
广袤形容是否有局限性,无限没有底,人类还没有那个度量,可见人类的心比宇宙还大。目前来看,人来到太空是轻飘飘的,太阳的灼感是不能靠近的,只有月亮对人类有亲近感,其它太遥远了,望尘莫及,等着吧!
回复 支持 反对

使用道具 举报

发表于 2020-10-26 05:43:08 | 显示全部楼层
能量产生运动,能量产生一切,故目前能量宇宙在自转,自转的宇宙物质必然是球形,黄氏宇宙新论原创,引用声明。
回复 支持 反对

使用道具 举报

您需要登录后才可以回帖 登录 | 立即注册

本版积分规则

QQ|服务条款|版权问题|小黑屋|手机版|滇ICP备13004447号-1|滇公网安备53032802000133号|神秘网

网站地图sitemapArchiver

GMT+8, 2025-12-31 16:18 , Processed in 0.104573 second(s), 22 queries , Gzip On.

基于Discuz! X3.5

辛树所有

快速回复 返回顶部 返回列表